1. 문제 상세
https://www.acmicpc.net/problem/25305

2. 문제 접근
점수들을 입력받고 점수를 내림차순으로 정렬 후 k 번째 점수를 출력하자.
이번에는 정렬 알고리즘에 삽입 정렬을 사용해보자.
■ 삽입 정렬
삽입 정렬 알고리즘은 원소를 앞쪽의 정렬된 배열의 원소들과 비교하여
맞는 위치를 찾아 삽입하여 정렬해가는 알고리즘이다.
정렬의 크기가 N 이라고 할 때, 오름차순 정렬을 해보자.
2번째 원소부터 시작해 현재 원소의 왼쪽 원소들과 비교하여 원소를 맞는 위치에 삽입하며 정렬해간다.
두 번째 원소를 앞(왼쪽)의 원소인 첫 번째 원소와 비교하고, 작다면 첫 번째 원소를뒤로 밀고 첫 번째 자리에 현재 원소를 놓고, 아니면 현재 자리에 둔다.
첫 과정이 끝나면 세 번째 원소와 두 번째, 첫 번째 원소를 비교, 큰 값이 나올때 까지 비교하고
큰 값이 나오면 원소를 뒤로 밀고 해당 자리에 삽입, 아니면 현재 자리에 둔다.
이렇게 N 번째 원소까지 비교해간다.맨 앞의 원소는 자동으로 정렬되므로 이번에도 비교 횟수는 N - 1 번이 된다.
아래는 삽입 정렬의 예시이다.

삽입 정렬의 시간복잡도를 확인해보자.
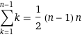
최악의 경우, 비교 횟수는 1부터 N - 1 까지의 합이므로

이 된다.
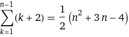
최악의 경우에서 교환 횟수는 총 비교 과정의 각 단계에서 k + 2 번이 되므로

이 된다.
따라서 삽입 정렬의 시간복잡도는 O(N2)이다.
하지만 최선의 경우(이미 정렬된 배열인 경우) 교환 없이 N - 1번의 비교만 실행된다.
이 경우 시간복잡도가 O(N)이 된다.
삽입 정렬 또한 다른 정렬의 시간복잡도와 비교해보면 꽤 비효율적이라는 것을 볼 수 있다.
하지만 배열이 이미 정렬되어있거나, 거의 정렬된 경우 선택, 버블 정렬보다는 효율적이다.

문제풀이를 통해 선택 정렬을 구현해보자.
3. 문제 풀이
#include <iostream>
#include <algorithm>
using namespace std;
int main() {
int n, k, a[1000], key, j;
cin >> n >> k;
for (int i = 0; i < n; i++) cin >> a[i];
for (int i = 1; i < n; i++) {
key = a[i];
for (j = i - 1; j >= 0 && a[j] > key; j--) {
a[j + 1] = a[j];
}
a[j + 1] = key;
}
reverse(a, a + n);
cout << a[k - 1];
}
정수형 변수 n, k, key, j 와 크기가 1000인 배열 a 를 선언.
cin 으로 정수(점수 개수, 수상자 수)를 입력받아 각각 n, k 에 저장.
for문으로 i 가 0부터 n 보다 작을 때 1씩 더하며 반복, cin 으로 점수를 입력받아 a 의 i 번 인덱스에 저장.
for문으로 i 가 1부터 n 보다 작을 때 1씩 더하며 반복 // N - 1 번 비교 실행
key 에 a 의 i 번 인덱스 값을 저장 // 비교, 삽입대상 원소를 저장
다시 for문으로 j 가 i - 1 부터 0보다 크거나 같고, a 의 j 번 인덱스의 값이 key 보다 클 때 j 에 1씩 빼며 반복.
/* key 값의 앞(왼쪽)의 값들을 뒤(역순)에서부터 비교하기위한 반복 실행.
key 값(현재 삽입 대상)이 작을 때 앞의 값을 뒤로 이동시킨다.
key 값이 앞의 값보다 클 때(정렬 위치를 찾았을 때) 루프를 빠져나간다. */
a 의 j + 1 번 인덱스에 a 의 j 번 인덱스의 값을 저장. // 값을 뒤로 이동
반복이 끝나면 a 의 j + 1 번 인덱스의 값에 key 의 값을 저장한다.
// 루프를 나왔을 때(정렬 위치를 찾은 경우) 마지막으로 비교한 값 뒤에 key 값을 삽입한다.
모든 반복이 끝나면 reverse 함수에 a, a + n 값을 전달해 a 의 첫 번째 부터 n 번째 위치의 값을
역순으로 변경한다. // reverse 함수를 통해 정렬한 값을 오름차순 -> 내림차순으로 변경.
cout 으로 a 의 k - 1 번 인덱스의 값을 출력한다.
// k 번째 값을 출력. 즉 k 번째 수상자의 점수이므로 커트라인을 출력한다.
4. 성능 확인

5. 마무리
이미지 및 참고 글 출처 : https://gmlwjd9405.github.io/2018/05/06/algorithm-insertion-sort.html
이번에는 삽입 정렬을 사용해 보았다.
'백준 - 단계별로 풀어보기 > 정렬' 카테고리의 다른 글
| [백준] 1427번 : 소트인사이드 | C++ (0) | 2023.11.09 |
|---|---|
| [백준] 10989번 : 수 정렬하기 3 | C++ (0) | 2023.11.08 |
| [백준] 2751번 : 수 정렬하기 2 | C++ (0) | 2023.11.08 |
| [백준] 2587번 : 대표값2 | C++ (0) | 2023.11.02 |
| [백준] 2750번 : 수 정렬하기 | C++ (0) | 2023.11.02 |